PPI: Relative Standard Deviation of the PPI (RSD PPI)
The relative standard deviation of the PPI expresses the degree of deviation of the computed individual PPI values from each other.
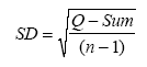
To determine this value, all PPI values of a peak are averaged (PPI avg) and are then squared (Q-Sum).

The standard deviation (SD) is defined as the root that is extracted from the Q-sum divided by (n-1), with n being the number of data points.

The relative standard deviation of the PPI (RSD (PPI)) in percent is obtained by dividing the standard deviation by the average of all PPI values (PPI avg), and by multiplying the result by 100%.
